La nulidad del contrato de arrendamiento se da cuando: Falta o no existe los elementos esenciales de este; como el objeto, las partes, el canon, entre otras. El incumplimiento del objeto del contrato (licitud, posibilidad y determinación). La ilicitud de la causa. El incumplimiento de la forma sustancial del contrato, donde no se dé la.. El contrato de arrendamiento cuya nulidad absoluta o de pleno derecho demando, fue celebrado como arrendador por el señor _____, sin ser propietario y en contravención a lo dispuesto por el Artículo 2401 interpretado a contrario sensu y demás relativos del Código Civil. IV. Al no ser el señor _____ el propietario del inmueble objeto del.
Contrato de Arrendamiento Alquiler Venezuela

Contrato de arrendamiento qué es y para qué sirve, modelos
Sentencia Definitiva Nulidad Contrato de Arrendamiento Demanda judicial Condominio Prueba
Contrato De Arrendamiento Concepto MIDE

Contrato De Arrendamiento Cdmx farez
NULIDAD DE CONTRATO.doc Nulo (ley) Derecho empresarial

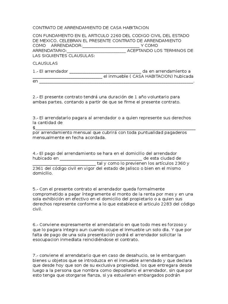
Contrato De Arrendamiento Jalisco MIDE

arrendamiento. la nulidad del contrato base de la accion puede
Contratos De Arrendamiento Comercial En Mexico MIDE
Contrato de Arrendamiento para casa habitación Alquiler Propiedad
Contrato Arrendamiento De Local Comercial Studocu 397
CONTRATO DE ARRENDAMIENTO DE CASA HABITACION.docx Alquiler Propiedad
Contrato de Arrendamiento Para Vivienda Urbana Pagos Alquiler

Contrato De Arrendamiento Concepto MIDE
Contrato de Arrendamiento para Llenar PDF Alquiler Derecho y economía
Notificación al Arrendador para Terminar el Contrato de Arrendamiento
Formato De Terminacion De Contrato De Arrendamiento MIDE

contrato de arrendamiento
Contrato de Arrendamiento Alquiler Pagos
Total 64+ imagen modelo de nulidad de contrato Abzlocal.mx
La fianza en el contrato de arrendamiento de vivienda. En el contrato de alquiler de vivienda, la fianza que se le puede exigir al inquilino de una vivienda habitual es de una mensualidad de la renta, por lo que si en el contrato se estipula una fianza mayor, esta cláusula será nula. Al margen de la fianza, la Ley de Arrendamientos Urbanos contempla que el propietario puede pedir otras.. La Ley de Inquilinato en su Artículo 31 establece "La transferencia de dominio del local arrendado termina el contrato de arrendamiento. En este caso, el dueño dará al arrendatario un plazo de tres meses para la desocupación. Si el arrendatario no fuere desahuciado en el plazo de un mes contado desde la fecha de transferencia de dominio.